生活信息
微信掃一掃
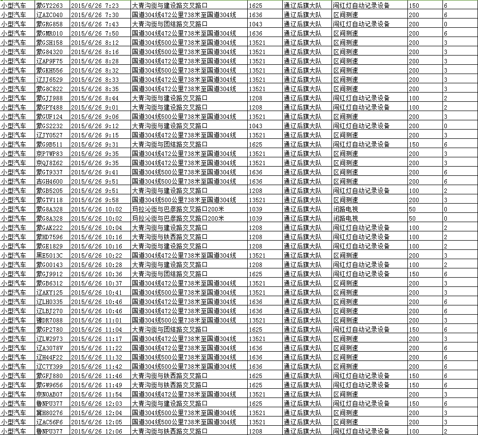
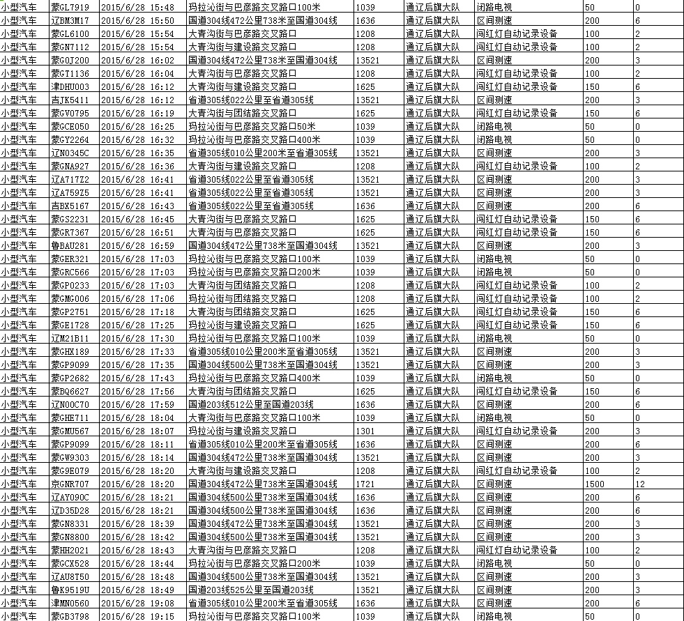
科左后旗轄區車輛違章情況告知(更新至2015年06月29日)
{$intro}
1繃緊“安全弦”把好“節前關”——科左后旗應急局扎實開展節前安全生產大檢查工作
1“趣跑大青溝 同慶大豐收”2025年第八屆科爾沁運動大會科左后旗站全民趣跑活動報名
1從科左后旗到哈爾濱:肉牛與旅游雙名片實力圈粉
1內蒙古瑪垃沁食品有限公司入駐新華信用平臺
1遺失聲明
1自然資源部 國家林業和草原局 通報2025年一季度18個破壞耕地、毀林毀草典型問題
1科左后旗關于開展 2025年自治區家庭經濟困難學生升入普通高校資助項目相關事宜的通知
1科左后旗工商聯聚焦發展與就業開展走訪調研工作
1公告
1科左后旗城鎮公共事業服務中心開展“五一假期安全生產專項大檢查”活動
1科左后旗城鎮公共事業服務中心:圓滿完成元宵節公園防火,守護節日煙火
1科左后旗城鎮公共事業服務中心開展“黨群攜手清積雪,情暖社區迎新春”活動
1修路方便群眾出行
1科左后旗支行開展“9月金融教育宣傳月”活動。
工作時間 周一至周五 8:00-17:30
微信公眾號
微信客服號
Copyright @ 2012-2024 gzclys.cn All Right Reserved @瑪拉沁文化傳媒有限公司